Togaware DATA MINING
Desktop Survival Guide
by Graham Williams
Google

Descriptive Analysis

The function survfit fits a survival curve for censored data. The default is to use the Kaplan-Meier method.

See help on survfit.formula for a discussion on Kaplan-Meier, Fleming-Harrington, Kalbfleisch-Prentice, Tsiatis/Link/Breslow. Essentially the estimates based on Kalbfleisch-Prentice and the Tsiatis/Link/Breslow reduce to the Kaplan-Meier and Fleming-Harrington estimates, respectively, when the weights are unity (as I think they are unless we specifically set them in the function call).

We first look at the simple dataset. We can fit a single survival curve by using 1 as the right hand side of the formula. The table and the plot contain a 95% confident interval.



> s.survfit <- survfit(s.Surv ~ 1, data=simple)
> summary(s.survfit)



Call: survfit(formula = s.Surv ~ 1, data = simple)

 time n.risk n.event survival std.err lower 95% CI
    2      9       1    0.889   0.105       0.7056
    7      4       1    0.667   0.208       0.3618
    9      3       1    0.444   0.228       0.1624
   10      2       1    0.222   0.194       0.0401
 upper 95% CI
            1
            1
            1
            1



> plot(s.survfit, xlab="Time", ylab="Survival Probability", col=3)

Image dmsurvivor-r:survival:simple_survfit_plot

The first known death is at time 2, at which time 90% are surviving. From this time to time 7 these 90% survive to at least time 7 when the next death occurs. From this time the model suggests 72% remain alive. They remain alive until time 9 at which time 48% remain alive. And so on. Note the confidence interval around these survival rates, which range quite widely up to 100%. With such a small dataset we don't expect too much accuracy on the fit.

For the lung dataset we fit a survival curve and plot it.



> l.survfit <- survfit(l.Surv ~ 1, data=lung)
> plot(l.survfit, xlab="Survival Time in Days", ylab="% Surviving", col=3, 
      yscale=100, main="Survival Distribution (Overall)")

Image dmsurvivor-r:survival:survival_curve_1

We notice in this plot that the confidence interval is a lot tighter around the fitted survival curve.

We can now add terms to the right side of the formula to group the data by those variables, and view any differences in survival according to the groups:



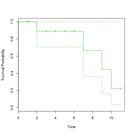
> l.survfit <- survfit(l.Surv ~ sex, data=lung)
> print(l.survfit)



Call: survfit(formula = l.Surv ~ sex, data = lung)

      records n.max n.start events median 0.95LCL 0.95UCL
sex=1     138   138     138    112    270     212     310
sex=2      90    90      90     53    426     348     550



> plot(l.survfit, xlab="Survival Time in Days", ylab="% Surviving", 
       lty=1:2, col=3:4, yscale=100, conf.int=TRUE,
       main="Survival Distribution by Gender")
> lines(l.survfit, lty=1:2, lwd=2, cex=2, col=3:4)
> legend("topright", title="Gender", c("Male", "Female"), lty=1:2, col=3:4, lwd=2)

Image dmsurvivor-r:survival:create_survival_curves

Note that adding further variables to the formula takes a lot longer, and after about 5 variables we risk running out of memory. We can see why since for numeric data each value is ``multiplied'' out (in the sense of a join) and hence exponential growth. Constructing such groups makes little sense.

Test for differences between the two groups (male and female) using a log-rank test (the default):



> survdiff(l.Surv ~ sex, data=lung)



Call:
survdiff(formula = l.Surv ~ sex, data = lung)

        N Observed Expected (O-E)^2/E (O-E)^2/V
sex=1 138      112     91.6      4.55      10.3
sex=2  90       53     73.4      5.68      10.3

 Chisq= 10.3  on 1 degrees of freedom, p= 0.00131

Look at age group survival distributions.



> agecat <- cut(lung$age, c(30, 50, 60, 70, 90))
> l.survfit <- survfit(l.Surv ~ strata(agecat), conf.type="log-log")
> print(l.survfit)



Call: survfit(formula = l.Surv ~ strata(agecat), conf.type = "log-log")

                              records n.max n.start events
strata(agecat)=agecat=(30,50]      26    26      26     16
strata(agecat)=agecat=(50,60]      68    68      68     48
strata(agecat)=agecat=(60,70]      88    88      88     63
strata(agecat)=agecat=(70,90]      46    46      46     38
                              median 0.95LCL 0.95UCL
strata(agecat)=agecat=(30,50]    320     223     624
strata(agecat)=agecat=(50,60]    363     245     429
strata(agecat)=agecat=(60,70]    329     239     460
strata(agecat)=agecat=(70,90]    283     176     310



> survdiff(l.Surv ~ agecat, rho=0)



Call:
survdiff(formula = l.Surv ~ agecat, rho = 0)

                N Observed Expected (O-E)^2/E (O-E)^2/V
agecat=(30,50] 26       16     20.6    1.0191    1.1749
agecat=(50,60] 68       48     52.0    0.3132    0.4604
agecat=(60,70] 88       63     64.7    0.0437    0.0726
agecat=(70,90] 46       38     27.7    3.8291    4.6404

 Chisq= 5.2  on 3 degrees of freedom, p= 0.154



> plot(l.survfit, xlab="Survival Time in Days", ylab="% Surviving", 
       main="Survival Distribution by Age Group",
       lty=c(6, 1, 4, 3), col=3:6)
> legend("topright", levels(agecat), lty=c(6, 1, 4, 3), col=3:6)

Image dmsurvivor-152

Copyright © Togaware Pty Ltd
Support further development through the purchase of the PDF version of the book.
The PDF version is a formatted comprehensive draft book (with over 800 pages).
Brought to you by Togaware. This page generated: Sunday, 22 August 2010