Togaware DATA MINING
Desktop Survival Guide
by Graham Williams
Google


Barplot

A barplot displays data as bars, each bar being proportional to the data being plotted. In R a barplot is built using the barplot function. We can use a barplot, for example, to illustrate the distribution of entities in a dataset across some variable. With the wine dataset Type is a categoric variable with three levels: 1, 2, and 3. A simple bar plot illustrates the distribution of the entities across the three Types. The summary function is used to obtain the data we wish to plot (59, 71, and 48).

We place the actual counts on the plot with the text function. The trick here is that the barplot function returns the bar midpoints, and these can be used to place the actual values. We add $2$ to the Roption[]y values to place the numbers above the bars. Also note that Roption[]xpd is set to TRUE to avoid the highest number being chopped (because it, 71, is actually outside the plot region).


Image rplot-wine-barplot



load("wine.Rdata")
attach(wine)
par(xpd=TRUE)
bp <- barplot(summary(Type), xlab="Type", ylab="Frequency")
text(bp, summary(Type)+2, summary(Type))

http://rattle.togaware.com/code/rplot-wine-barplot.R

The following examples based on Marc Schwartz examples posted to R help in 2002.

A simple barplot using cex.axis to make the font a bit smaller, drawing the x and y axes separately, to avoid making both fonts:



> mp <- barplot(1:16, axes = FALSE, axisnames = FALSE)
> axis(2)
> axis(1, at = mp, labels = 1:16, cex.axis = 0.5)

Image dmsurvivor-runderstand:barplot_simple

To obtain 45 degree x axis labels one approach is:



> labels <- paste("Bar #", 1:16, sep ="")
> mp <- barplot(1:16, axes = FALSE, axisnames = FALSE)
> text(mp, par("usr")[3], labels = labels, srt = 45, adj = 1, xpd = TRUE)
> axis(2)

Image dmsurvivor-runderstanding:barplot_45degree_xlabels

To also draw the actual x axis line and tick marks, we need to shift the rotated x axis labels downward:



> labels <- paste("Bar #", 1:16, sep="")
> mp <- barplot(1:16, axes=FALSE, axisnames=FALSE)
> text(mp, par("usr")[3] - 0.5, labels=labels, srt=45, adj=1, xpd=TRUE)
> axis(1, at=mp, labels=FALSE)
> axis(2)

Image dmsurvivor-runderstanding:barplot_45degree_xlabels_ticks

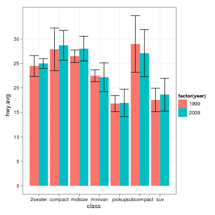
An example using ggplot2



> library(ggplot2)
> data(mpg)
> hwy.avg <- ddply(mpg, c("class", "year"), 
                   function(df) return(c(hwy.avg=mean(df$hwy), hwy.sd=sd(df$hwy))))
> avg.plot <- qplot(class, hwy.avg, fill=factor(year), data=hwy.avg, geom="bar", 
                    position="dodge")
> pl <- avg.plot + 
    geom_errorbar(aes(ymax=hwy.avg+hwy.sd, ymin=hwy.avg-hwy.sd), position="dodge") +
    theme_bw()
> print(pl)

Image dmsurvivor-runderstanding:barplot_ggplot2_mpg

Copyright © Togaware Pty Ltd
Support further development through the purchase of the PDF version of the book.
The PDF version is a formatted comprehensive draft book (with over 800 pages).
Brought to you by Togaware. This page generated: Sunday, 22 August 2010